Официальное опубликование правовых актов
ОФИЦИАЛЬНОЕ ОПУБЛИКОВАНИЕ
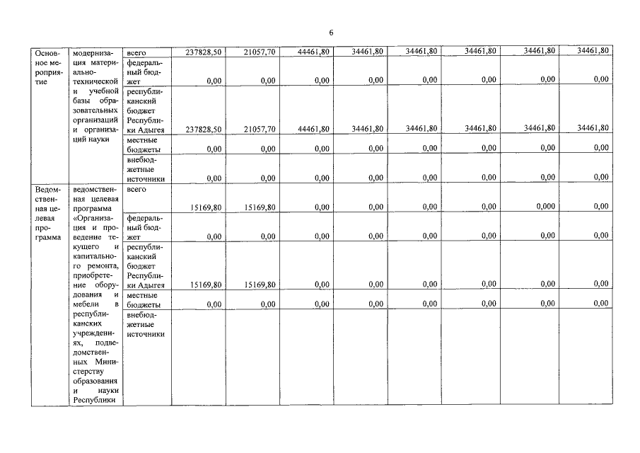
Постановление Кабинета Министров Республики Адыгея от 02.06.2015 № 125
"О внесении изменений в государственную программу Республики Адыгея "Развитие образования" на 2014-2020 годы"
Номер опубликования: 0100201506050001
Дата опубликования: 05.06.2015
Страница №23 из 25:
Увеличить