Официальное опубликование правовых актов
ОФИЦИАЛЬНОЕ ОПУБЛИКОВАНИЕ
Постановление Кабинета Министров Республики Адыгея от 24.11.2014 № 281
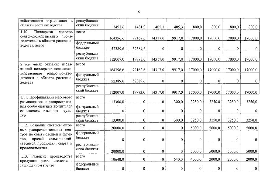
"О внесении изменений в государственную программу Республики Адыгея "Развитие сельского хозяйства и регулирование рынков сельскохозяйственной продукции, сырья и продовольствия" на 2013-2020 годы"
Номер опубликования: 0100201411280013
Дата опубликования: 28.11.2014
Страница №32 из 47:
Увеличить