Официальное опубликование правовых актов
ОФИЦИАЛЬНОЕ ОПУБЛИКОВАНИЕ
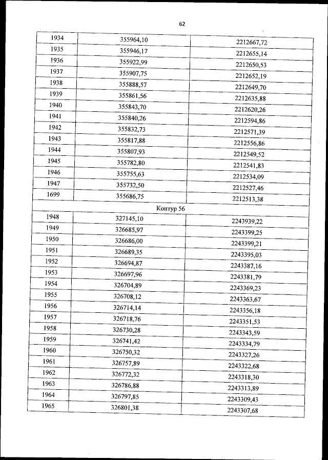
Приказ Министерства природных ресурсов и экологии Российской Федерации от 30.12.2025 № 757
"Об установлении границ охранной зоны Кавказского государственного природного биосферного заповедника, а также об утверждении Положения о данной охранной зоне"
(Зарегистрирован 23.01.2026 № 85037)
Номер опубликования: 0001202601260001
Дата опубликования: 26.01.2026
Страница №63 из 331:
Увеличить