Официальное опубликование правовых актов
ОФИЦИАЛЬНОЕ ОПУБЛИКОВАНИЕ
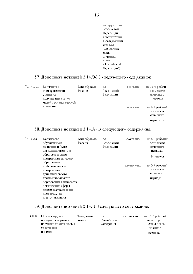
Распоряжение Правительства Российской Федерации от 13.01.2026 № 7-р
Номер опубликования: 0001202601160012
Дата опубликования: 16.01.2026
Страница №17 из 28:
Увеличить