Официальное опубликование правовых актов
ОФИЦИАЛЬНОЕ ОПУБЛИКОВАНИЕ
Приказ Министерства культуры Российской Федерации от 28.10.2025 № 1928
"Об утверждении предмета охраны, границ территории и требований к градостроительным регламентам в границах территории исторического поселения федерального значения город Шуя Ивановской области"
(Зарегистрирован 12.01.2026 № 84907)
Номер опубликования: 0001202601130007
Дата опубликования: 13.01.2026
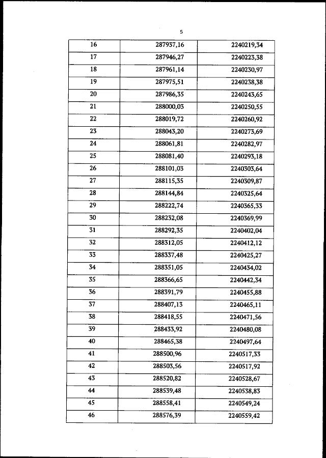
Страница №5 из 189:
Увеличить