Официальное опубликование правовых актов
ОФИЦИАЛЬНОЕ ОПУБЛИКОВАНИЕ
Приказ Министерства культуры Российской Федерации от 12.11.2025 № 2049
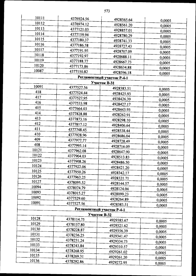
"Об утверждении требований к осуществлению деятельности и градостроительному регламенту в границах территории объекта культурного наследия (памятника истории и культуры) народов Российской Федерации федерального значения - достопримечательное место "Древний город Херсонес Таврический и Крепости Чембало и Каламита", расположенного в городе Севастополе"
(Зарегистрирован 08.12.2025 № 84476)
Номер опубликования: 0001202512080001
Дата опубликования: 08.12.2025
Страница №573 из 910:
Увеличить