Приказ Министерства транспорта Российской Федерации от 27.10.2025 № 352
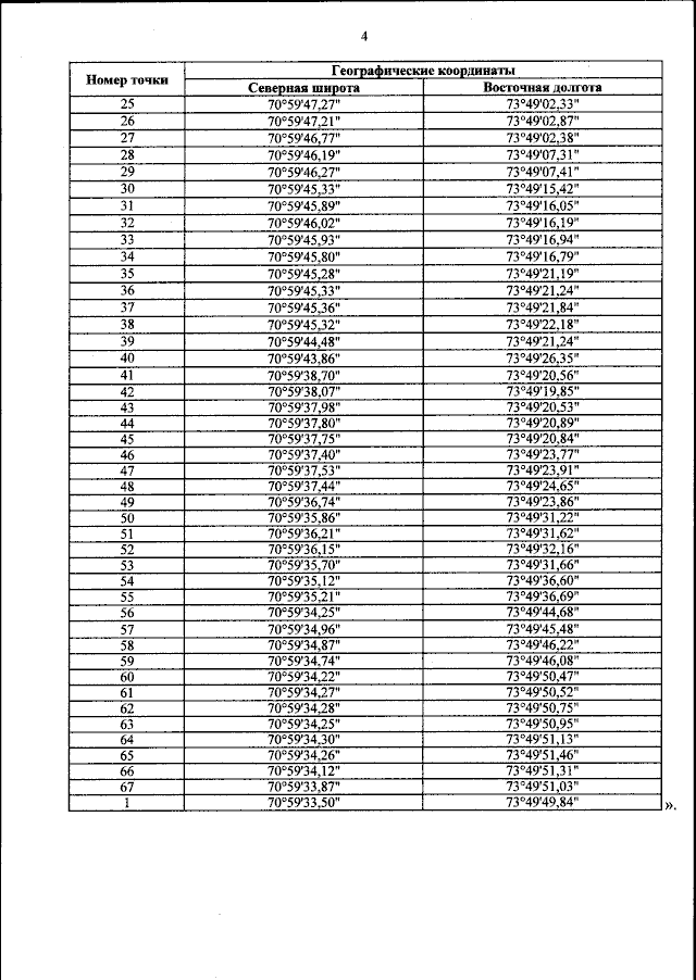
"Об открытии морского грузового постоянного многостороннего пункта пропуска через государственную границу Российской Федерации в морском порту Сабетта (Ямало-Ненецкий автономный округ), реконструированного в рамках IV и V этапов, и о внесении изменений в пределы морского грузового постоянного многостороннего пункта пропуска через государственную границу Российской Федерации в морском порту Сабетта (Ямало-Ненецкий автономный округ), утвержденные приказом Министерства транспорта Российской Федерации от 17 декабря 2018 г. № 454"
(Зарегистрирован 25.11.2025 № 84263)
"Об открытии морского грузового постоянного многостороннего пункта пропуска через государственную границу Российской Федерации в морском порту Сабетта (Ямало-Ненецкий автономный округ), реконструированного в рамках IV и V этапов, и о внесении изменений в пределы морского грузового постоянного многостороннего пункта пропуска через государственную границу Российской Федерации в морском порту Сабетта (Ямало-Ненецкий автономный округ), утвержденные приказом Министерства транспорта Российской Федерации от 17 декабря 2018 г. № 454"
(Зарегистрирован 25.11.2025 № 84263)
Номер опубликования: 0001202511260020
Дата опубликования:
26.11.2025
