Официальное опубликование правовых актов
ОФИЦИАЛЬНОЕ ОПУБЛИКОВАНИЕ
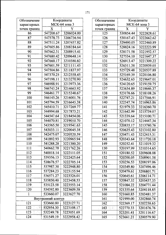
Приказ Федерального агентства воздушного транспорта от 29.09.2025 № 729-П
"Об установлении приаэродромной территории аэродрома гражданской авиации Балаково"
(Зарегистрирован 25.11.2025 № 84261)
Номер опубликования: 0001202511260008
Дата опубликования: 26.11.2025
Страница №172 из 228:
Увеличить