Официальное опубликование правовых актов
ОФИЦИАЛЬНОЕ ОПУБЛИКОВАНИЕ
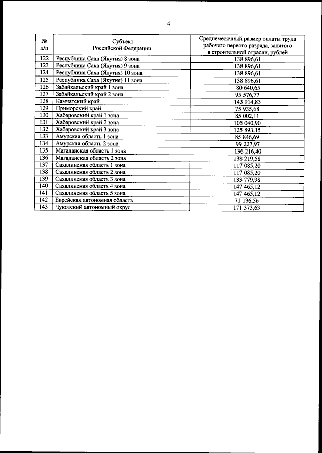
Приказ Министерства транспорта Российской Федерации от 17.10.2025 № 346
"Об установлении среднемесячных размеров оплаты труда рабочего первого разряда, занятого в строительной отрасли, для целей определения сметной стоимости строительства автомобильных дорог и (или) искусственных дорожных сооружений за 2024 год"
(Зарегистрирован 19.11.2025 № 84216)
Номер опубликования: 0001202511200006
Дата опубликования: 20.11.2025
Страница №5 из 5:
Увеличить