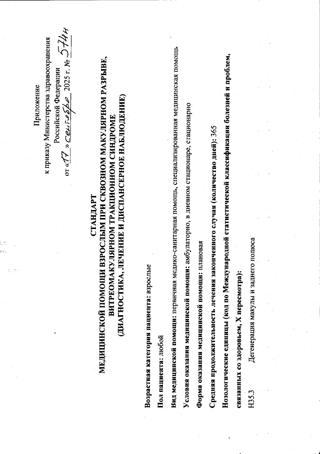
Приказ Министерства здравоохранения Российской Федерации от 17.09.2025 № 574н
"Об утверждении стандарта медицинской помощи взрослым при сквозном макулярном разрыве, витреомакулярном тракционном синдроме (диагностика, лечение и диспансерное наблюдение)"
(Зарегистрирован 24.10.2025 № 83956)
"Об утверждении стандарта медицинской помощи взрослым при сквозном макулярном разрыве, витреомакулярном тракционном синдроме (диагностика, лечение и диспансерное наблюдение)"
(Зарегистрирован 24.10.2025 № 83956)
Номер опубликования: 0001202510280008
Дата опубликования:
28.10.2025
