Официальное опубликование правовых актов
ОФИЦИАЛЬНОЕ ОПУБЛИКОВАНИЕ
Приказ Федеральной службы по экологическому, технологическому и атомному надзору от 30.01.2025 № 31
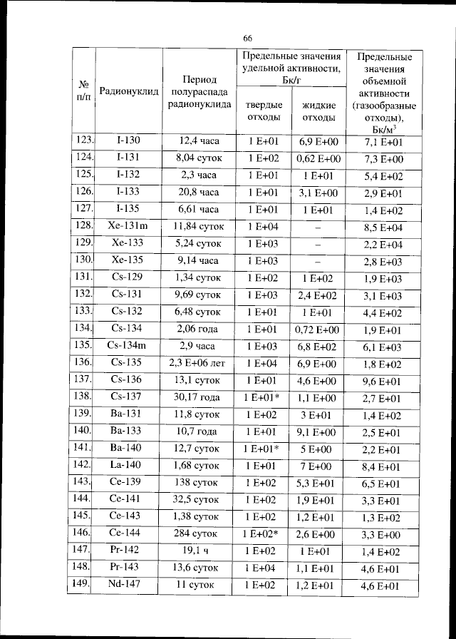
"Об утверждении федеральных норм и правил в области использования атомной энергии "Правила учета и контроля радиоактивных веществ, отдельных ядерных материалов и радиоактивных отходов в организации" (НП-067-24)"
(Зарегистрирован 14.08.2025 № 83200)
Номер опубликования: 0001202508150003
Дата опубликования: 15.08.2025
Страница №67 из 104:
Увеличить