Официальное опубликование правовых актов
ОФИЦИАЛЬНОЕ ОПУБЛИКОВАНИЕ
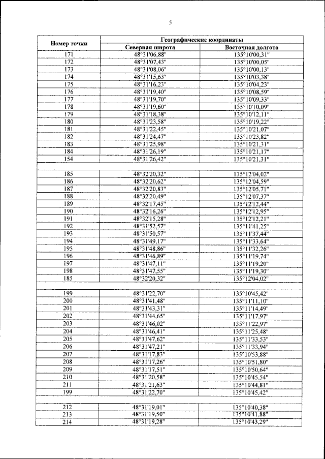
Приказ Министерства транспорта Российской Федерации от 02.08.2025 № 231
"Об открытии воздушного грузо-пассажирского постоянного многостороннего пункта пропуска через государственную границу Российской Федерации в международном аэропорту Хабаровск (Новый) и об утверждении пределов данного пункта пропуска через государственную границу Российской Федерации"
(Зарегистрирован 06.08.2025 № 83141)
Номер опубликования: 0001202508060006
Дата опубликования: 06.08.2025
Страница №6 из 20:
Увеличить