Официальное опубликование правовых актов
ОФИЦИАЛЬНОЕ ОПУБЛИКОВАНИЕ
Приказ Федерального агентства воздушного транспорта от 18.06.2025 № 444-П
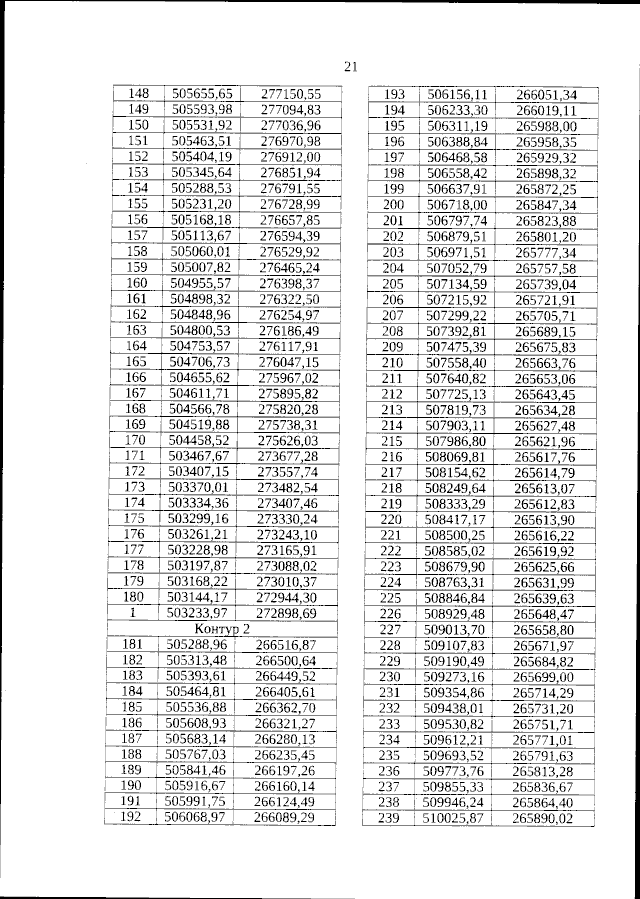
"О внесении изменений в приаэродромную территорию аэродрома гражданской авиации Нальчик, установленную приказом Федерального агентства воздушного транспорта от 30 июля 2024 г. № 690-П"
(Зарегистрирован 01.08.2025 № 83122)
Номер опубликования: 0001202508010011
Дата опубликования: 01.08.2025
Страница №22 из 82:
Увеличить