Официальное опубликование правовых актов
ОФИЦИАЛЬНОЕ ОПУБЛИКОВАНИЕ
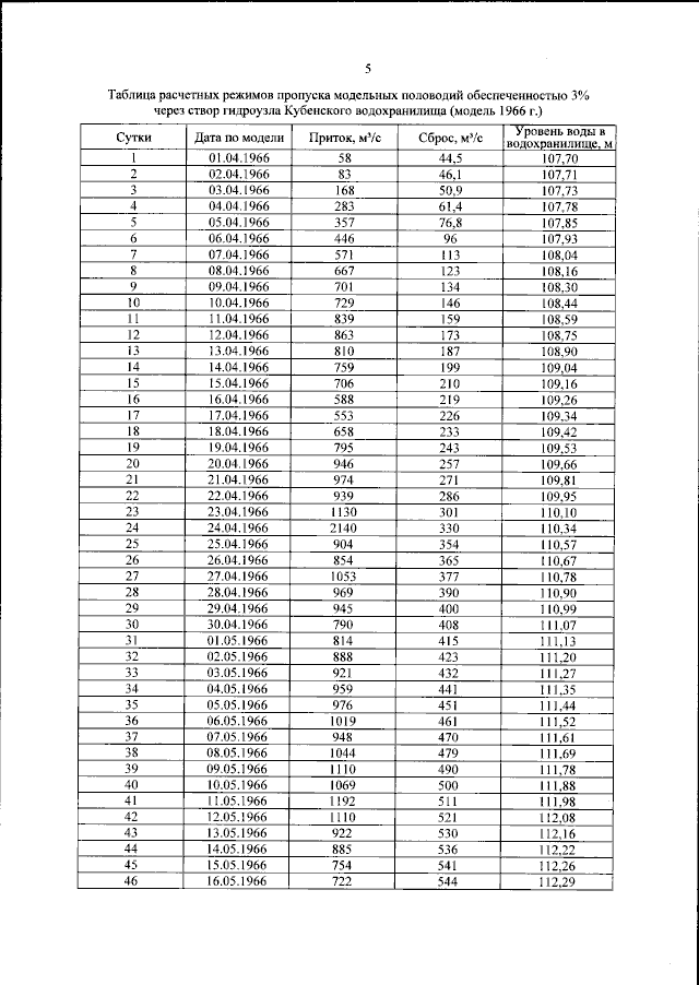
Приказ Федерального агентства водных ресурсов от 27.06.2025 № 165
"Об утверждении Правил использования водных ресурсов Кубенского водохранилища"
(Зарегистрирован 24.07.2025 № 83055)
Номер опубликования: 0001202507240016
Дата опубликования: 24.07.2025
Страница №49 из 54:
Увеличить