Приказ Министерства природных ресурсов и экологии Российской Федерации от 14.02.2025 № 72
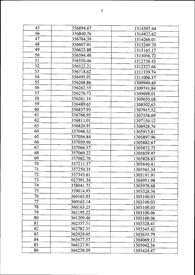
"Об установлении границ охранной зоны участков Зоринский и Пойма Псла Центрально-Черноземного государственного природного биосферного заповедника имени профессора В.В. Алехина, а также об утверждении Положения о данной охранной зоне"
(Зарегистрирован 14.07.2025 № 82903)
"Об установлении границ охранной зоны участков Зоринский и Пойма Псла Центрально-Черноземного государственного природного биосферного заповедника имени профессора В.В. Алехина, а также об утверждении Положения о данной охранной зоне"
(Зарегистрирован 14.07.2025 № 82903)
Номер опубликования: 0001202507140028
Дата опубликования:
14.07.2025
