Официальное опубликование правовых актов
ОФИЦИАЛЬНОЕ ОПУБЛИКОВАНИЕ
Приказ Министерства культуры Российской Федерации от 02.06.2025 № 978
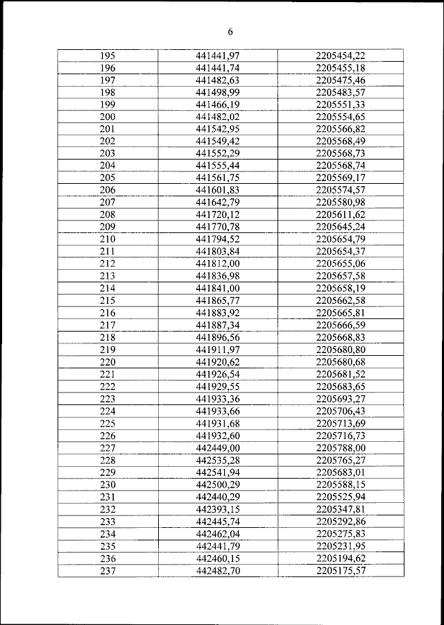
"О включении выявленного объекта культурного наследия (памятника истории и культуры) народов Российской Федерации "Усадьба "Горки": памятное место, связанное с последними годами жизни и деятельности В.И. Ленина", 1918-1924 гг. (Московская область, Ленинский муниципальный район, городское поселение Горки Ленинские) в единый государственный реестр объектов культурного наследия (памятников истории и культуры) народов Российской Федерации в качестве объекта культурного наследия (памятника истории и культуры) народов Российской Федерации федерального значения и утверждении границ его территории"
(Зарегистрирован 10.07.2025 № 82857)
Номер опубликования: 0001202507100005
Дата опубликования: 10.07.2025
Страница №18 из 19:
Увеличить