Официальное опубликование правовых актов
ОФИЦИАЛЬНОЕ ОПУБЛИКОВАНИЕ
Приказ Министерства природных ресурсов и экологии Российской Федерации от 31.03.2025 № 163
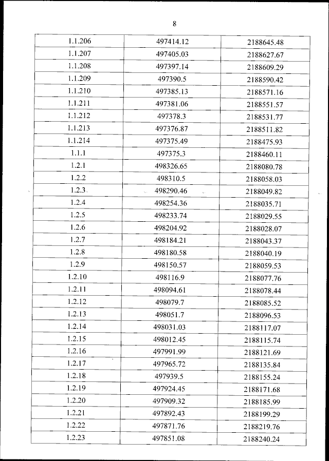
"Об установлении границ охранной зоны памятника природы федерального значения "Озеро Киево и его котловина", а также об утверждении Положения о данной охранной зоне"
(Зарегистрирован 04.07.2025 № 82816)
Номер опубликования: 0001202507070003
Дата опубликования: 07.07.2025
Страница №9 из 16:
Увеличить