Официальное опубликование правовых актов
ОФИЦИАЛЬНОЕ ОПУБЛИКОВАНИЕ
Приказ Министерства культуры Российской Федерации от 13.05.2025 № 848
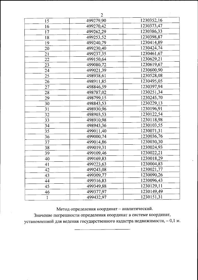
"О включении выявленного объекта культурного наследия (памятника истории и культуры) народов Российской Федерации "Трапезная", 1896 г. (Псковская область, Печорский район, городское поселение "Печоры", город Печоры, улица Международная, дом 5, строение 6) в единый государственный реестр объектов культурного наследия (памятников истории и культуры) народов Российской Федерации в составе объекта культурного наследия (памятника истории и культуры) народов Российской Федерации федерального значения "Ансамбль Псково-Печерского монастыря", ХIV - ХХ вв. (Псковская область, Печорский район, г. Печоры, ул. Международная, дом 5) в качестве объекта культурного наследия (памятника истории и культуры) народов Российской Федерации федерального значения и утверждении границ его территории"
(Зарегистрирован 25.06.2025 № 82722)
Номер опубликования: 0001202506260024
Дата опубликования: 26.06.2025
Страница №6 из 6:
Увеличить