Официальное опубликование правовых актов
ОФИЦИАЛЬНОЕ ОПУБЛИКОВАНИЕ
Приказ Министерства труда и социальной защиты Российской Федерации от 11.02.2025 № 59н
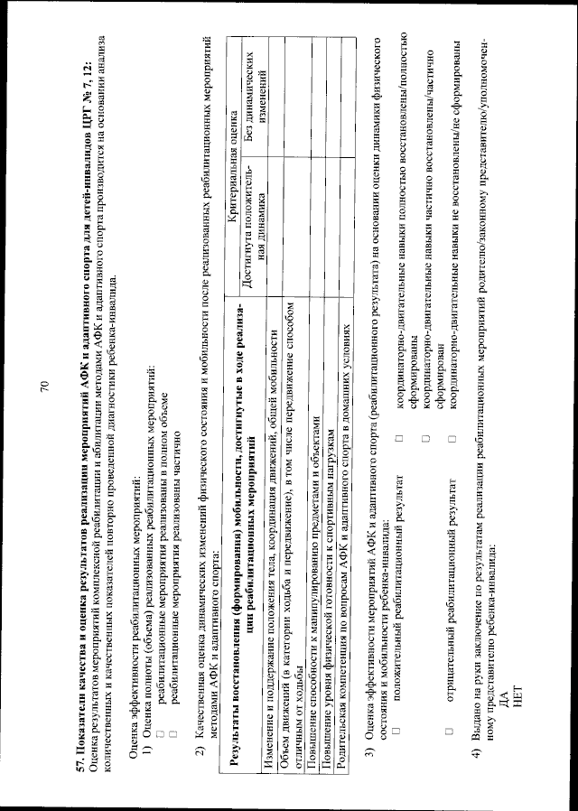
"Об утверждении стандартов предоставления услуг по комплексной реабилитации и абилитации детей-инвалидов в стационарных условиях без проживания и питания сопровождающих детей-инвалидов лиц"
(Зарегистрирован 15.05.2025 № 82200)
Номер опубликования: 0001202505160012
Дата опубликования: 16.05.2025
Страница №792 из 811:
Увеличить