Официальное опубликование правовых актов
ОФИЦИАЛЬНОЕ ОПУБЛИКОВАНИЕ
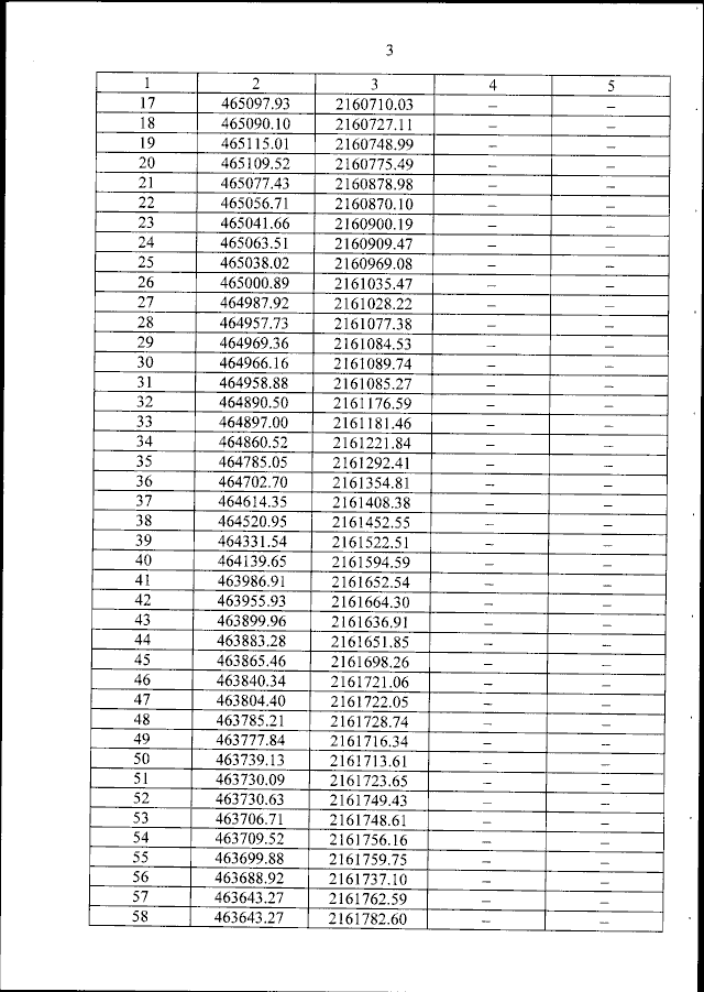
Приказ Федеральной службы охраны Российской Федерации от 31.03.2025 № 47
"Об установлении зоны охраняемого объекта (Московская область, Одинцовский район, кадастровый квартал: 50:20:0041514)"
(Зарегистрирован 07.05.2025 № 82090)
Номер опубликования: 0001202505120002
Дата опубликования: 12.05.2025
Страница №3 из 9:
Увеличить