Официальное опубликование правовых актов
ОФИЦИАЛЬНОЕ ОПУБЛИКОВАНИЕ
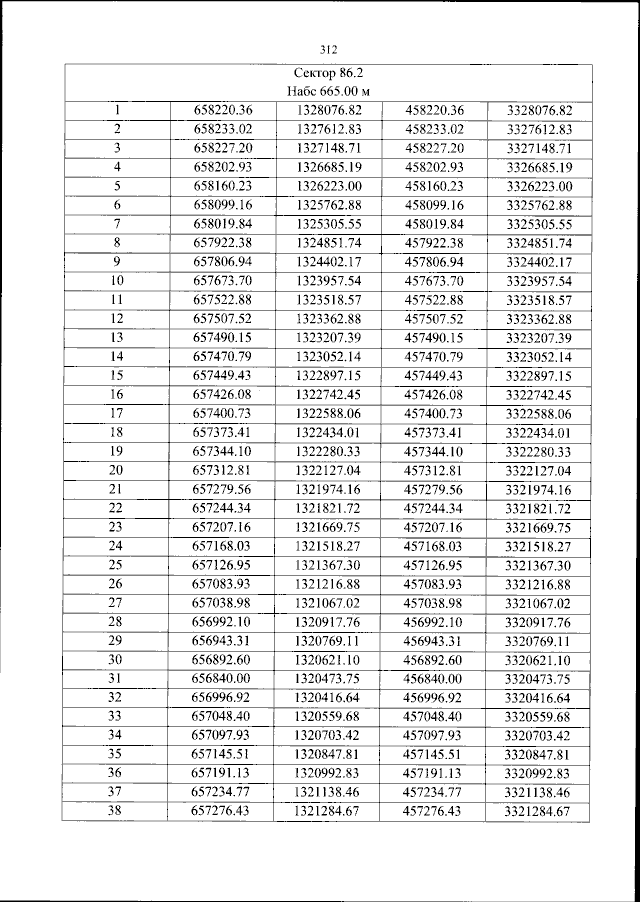
Приказ Федерального агентства воздушного транспорта от 31.03.2025 № 240-П
"Об установлении приаэродромной территории аэродрома гражданской авиации Горно-Алтайск"
(Зарегистрирован 29.04.2025 № 82013)
Номер опубликования: 0001202504300016
Дата опубликования: 30.04.2025
Страница №313 из 393:
Увеличить