Приказ Министерства культуры Российской Федерации от 20.03.2025 № 503
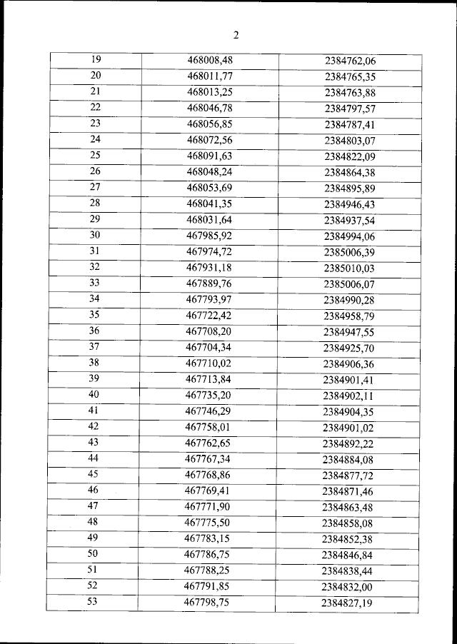
"О включении выявленного объекта культурного наследия "Архитектурно-градостроительный ансамбль исторического и культурного центра г. Цимлянска", 1952 - 1956 гг. (Ростовская область, г. Цимлянск, место примыкания ул. Советской к пл. Победы) и выявленных объектов культурного наследия в его составе в единый государственный реестр объектов культурного наследия (памятников истории и культуры) народов Российской Федерации в качестве объектов культурного наследия федерального значения и утверждении границ их территории"
(Зарегистрирован 25.04.2025 № 81967)
"О включении выявленного объекта культурного наследия "Архитектурно-градостроительный ансамбль исторического и культурного центра г. Цимлянска", 1952 - 1956 гг. (Ростовская область, г. Цимлянск, место примыкания ул. Советской к пл. Победы) и выявленных объектов культурного наследия в его составе в единый государственный реестр объектов культурного наследия (памятников истории и культуры) народов Российской Федерации в качестве объектов культурного наследия федерального значения и утверждении границ их территории"
(Зарегистрирован 25.04.2025 № 81967)
Номер опубликования: 0001202504280017
Дата опубликования:
28.04.2025
