Официальное опубликование правовых актов
ОФИЦИАЛЬНОЕ ОПУБЛИКОВАНИЕ
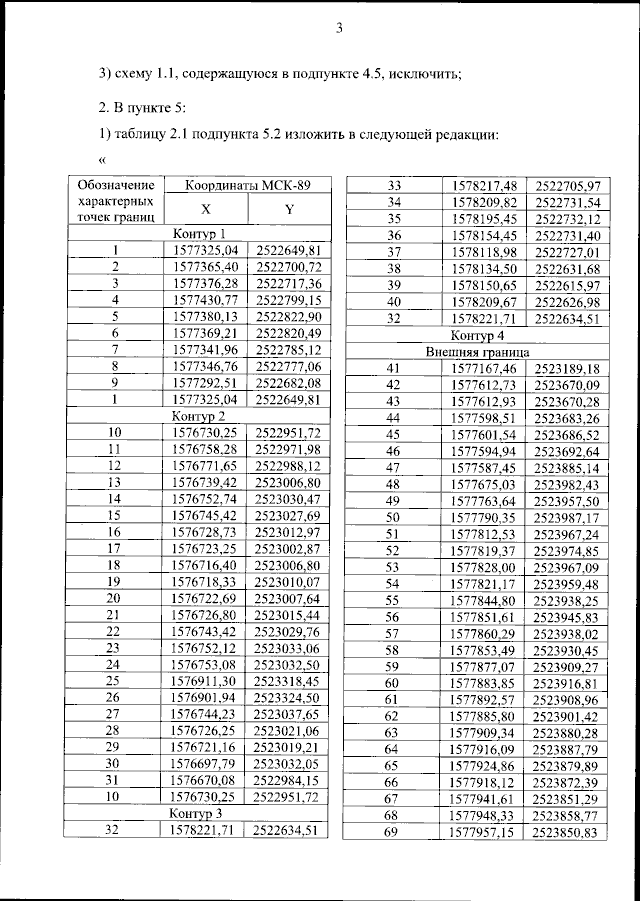
Приказ Федерального агентства воздушного транспорта от 03.03.2025 № 155-П
"О внесении изменений в приаэродромную территорию аэродрома гражданской авиации Салехард, установленную приказом Федерального агентства воздушного транспорта от 28 июля 2023 г. № 596-П"
(Зарегистрирован 04.04.2025 № 81750)
Номер опубликования: 0001202504070025
Дата опубликования: 07.04.2025
Страница №4 из 10:
Увеличить