Официальное опубликование правовых актов
ОФИЦИАЛЬНОЕ ОПУБЛИКОВАНИЕ
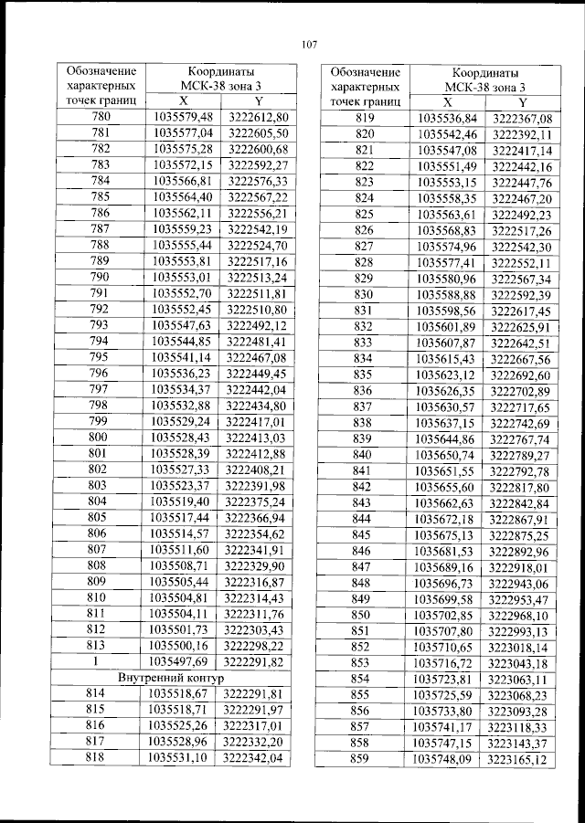
Приказ Федерального агентства воздушного транспорта от 29.01.2025 № 46-П
"Об установлении приаэродромной территории аэродрома гражданской авиации Усть-Илимск"
(Зарегистрирован 14.03.2025 № 81555)
Номер опубликования: 0001202503170005
Дата опубликования: 17.03.2025
Страница №108 из 122:
Увеличить