Официальное опубликование правовых актов
ОФИЦИАЛЬНОЕ ОПУБЛИКОВАНИЕ
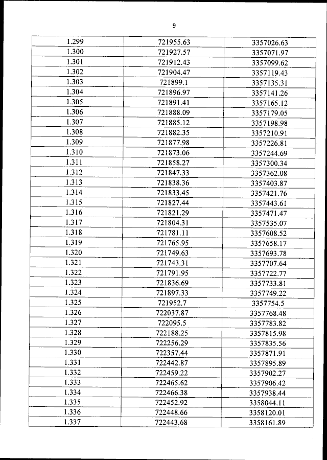
Приказ Министерства природных ресурсов и экологии Российской Федерации от 15.01.2025 № 28
"Об утверждении Положения о государственном природном заповеднике "Комсомольский"
(Зарегистрирован 18.02.2025 № 81290)
Номер опубликования: 0001202502190002
Дата опубликования: 19.02.2025
Страница №18 из 51:
Увеличить