Официальное опубликование правовых актов
ОФИЦИАЛЬНОЕ ОПУБЛИКОВАНИЕ
Приказ Министерства юстиции Российской Федерации от 07.02.2025 № 23
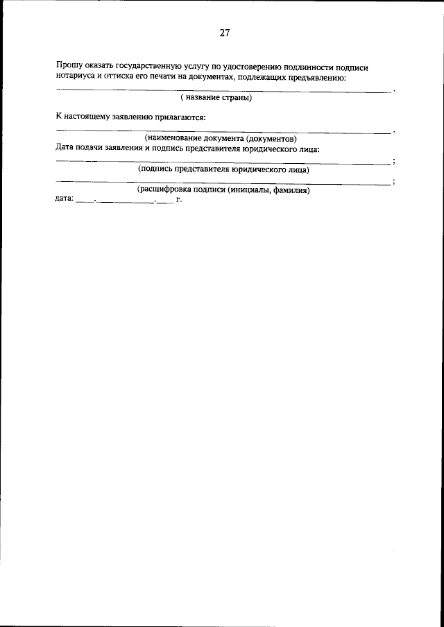
"Об утверждении Административного регламента Министерства юстиции Российской Федерации по предоставлению государственной услуги "Удостоверение подлинности подписи нотариуса и оттиска его печати при легализации документов, представляемых физическими и юридическими лицами в компетентные органы иностранных государств"
(Зарегистрирован 12.02.2025 № 81221)
Номер опубликования: 0001202502120018
Дата опубликования: 12.02.2025
Страница №29 из 31:
Увеличить