Официальное опубликование правовых актов
ОФИЦИАЛЬНОЕ ОПУБЛИКОВАНИЕ
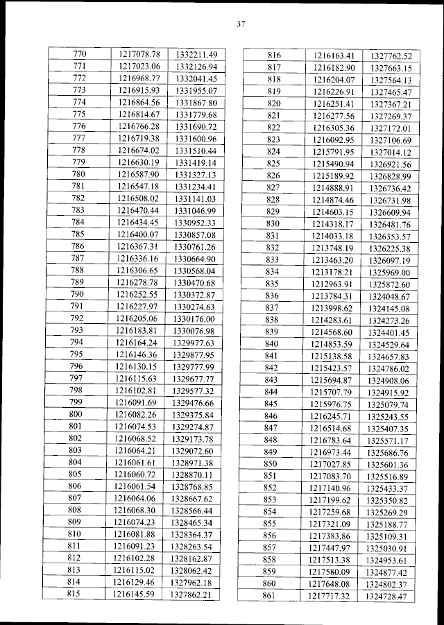
Приказ Федерального агентства воздушного транспорта от 14.01.2025 № 8-П
"Об установлении приаэродромной территории аэродрома гражданской авиации Ноглики"
(Зарегистрирован 11.02.2025 № 81219)
Номер опубликования: 0001202502120005
Дата опубликования: 12.02.2025
Страница №38 из 213:
Увеличить