Официальное опубликование правовых актов
ОФИЦИАЛЬНОЕ ОПУБЛИКОВАНИЕ
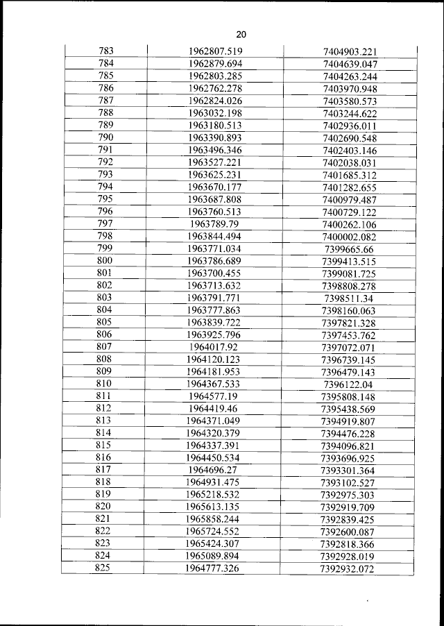
Приказ Министерства природных ресурсов и экологии Российской Федерации от 29.10.2024 № 631
"Об установлении границ охранной зоны национального парка "Кыталык", а также об утверждении Положения о данной охранной зоне"
(Зарегистрирован 04.02.2025 № 81139)
Номер опубликования: 0001202502050013
Дата опубликования: 05.02.2025
Страница №21 из 151:
Увеличить