Официальное опубликование правовых актов
ОФИЦИАЛЬНОЕ ОПУБЛИКОВАНИЕ
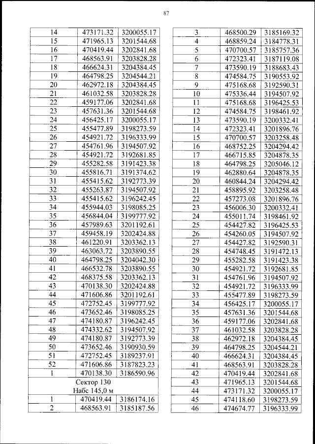
Приказ Федерального агентства воздушного транспорта от 24.12.2024 № 1162-П
"Об установлении приаэродромной территории аэродрома гражданской авиации Хабаровск (Новый)"
(Зарегистрирован 31.01.2025 № 81111)
Номер опубликования: 0001202502030017
Дата опубликования: 03.02.2025
Страница №88 из 166:
Увеличить