Официальное опубликование правовых актов
ОФИЦИАЛЬНОЕ ОПУБЛИКОВАНИЕ
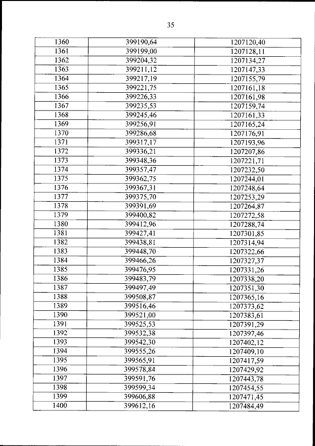
Приказ Министерства природных ресурсов и экологии Российской Федерации от 24.10.2024 № 626
"Об установлении границ охранной зоны национального парка "Куршская коса" на землях Зеленоградского района Калининградской области и акватории Куршского залива, а также об утверждении Положения о данной охранной зоне"
(Зарегистрирован 20.01.2025 № 80967)
Номер опубликования: 0001202501210004
Дата опубликования: 21.01.2025
Страница №36 из 74:
Увеличить