Официальное опубликование правовых актов
ОФИЦИАЛЬНОЕ ОПУБЛИКОВАНИЕ
Приказ Министерства культуры Российской Федерации от 23.09.2024 № 1824
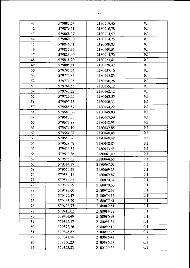
"Об утверждении границ зон охраны объекта культурного наследия (памятника истории и культуры) народов Российской Федерации федерального значения "Ансамбль Зверина (Покровского) монастыря", ХIV - начало ХХ века (Новгородская область, г. Великий Новгород, ул. Бредова-Звериная, д. 16, д. 18, д. 20), включенного в Список всемирного наследия, особых режимов использования земель и требований к градостроительным регламентам в границах территорий данных зон"
(Зарегистрирован 15.01.2025 № 80924)
Номер опубликования: 0001202501160001
Дата опубликования: 16.01.2025
Страница №27 из 45:
Увеличить