Официальное опубликование правовых актов
ОФИЦИАЛЬНОЕ ОПУБЛИКОВАНИЕ
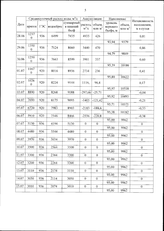
Приказ Федерального агентства водных ресурсов от 17.10.2024 № 280
"Об утверждении Правил использования водных ресурсов Курейского водохранилища"
(Зарегистрирован 09.01.2025 № 80882)
Номер опубликования: 0001202501100003
Дата опубликования: 10.01.2025
Страница №118 из 128:
Увеличить