Официальное опубликование правовых актов
ОФИЦИАЛЬНОЕ ОПУБЛИКОВАНИЕ
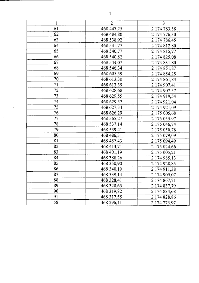
Приказ Федеральной службы охраны Российской Федерации от 14.11.2024 № 178
"Об установлении зоны охраняемого объекта (Московская область, Одинцовский городской округ, кадастровый квартал 50:20:0010516)"
(Зарегистрирован 17.12.2024 № 80591)
Номер опубликования: 0001202412180008
Дата опубликования: 18.12.2024
Страница №4 из 8:
Увеличить