Приказ Министерства культуры Российской Федерации от 13.08.2024 № 1548
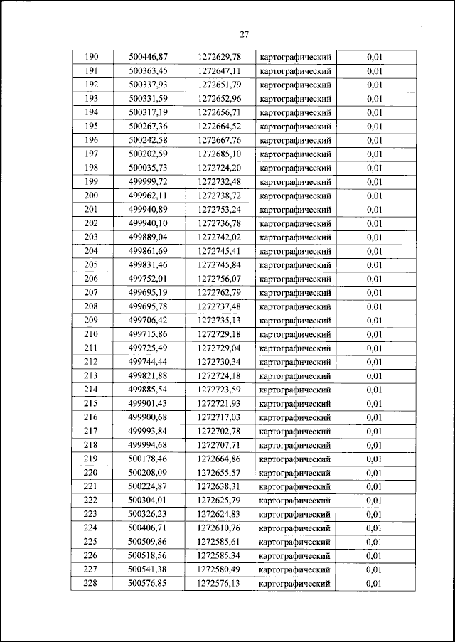
"Об утверждении границ объединенной зоны охраны объектов культурного наследия федерального значения "Троицкий кафедральный собор с колокольней", ХVII в., 1830 г. и "Приказная палата", ХVII в., входящих в состав объекта культурного наследия федерального значения "Ансамбль Кремля", ХII - ХIХ вв. (Псковская область), отнесенных к особо ценным объектам культурного наследия народов Российской Федерации, особых режимов использования земель и требований к градостроительным регламентам в границах территории данной зоны"
(Зарегистрирован 25.11.2024 № 80310)
"Об утверждении границ объединенной зоны охраны объектов культурного наследия федерального значения "Троицкий кафедральный собор с колокольней", ХVII в., 1830 г. и "Приказная палата", ХVII в., входящих в состав объекта культурного наследия федерального значения "Ансамбль Кремля", ХII - ХIХ вв. (Псковская область), отнесенных к особо ценным объектам культурного наследия народов Российской Федерации, особых режимов использования земель и требований к градостроительным регламентам в границах территории данной зоны"
(Зарегистрирован 25.11.2024 № 80310)
Номер опубликования: 0001202411260006
Дата опубликования:
26.11.2024
