Официальное опубликование правовых актов
ОФИЦИАЛЬНОЕ ОПУБЛИКОВАНИЕ
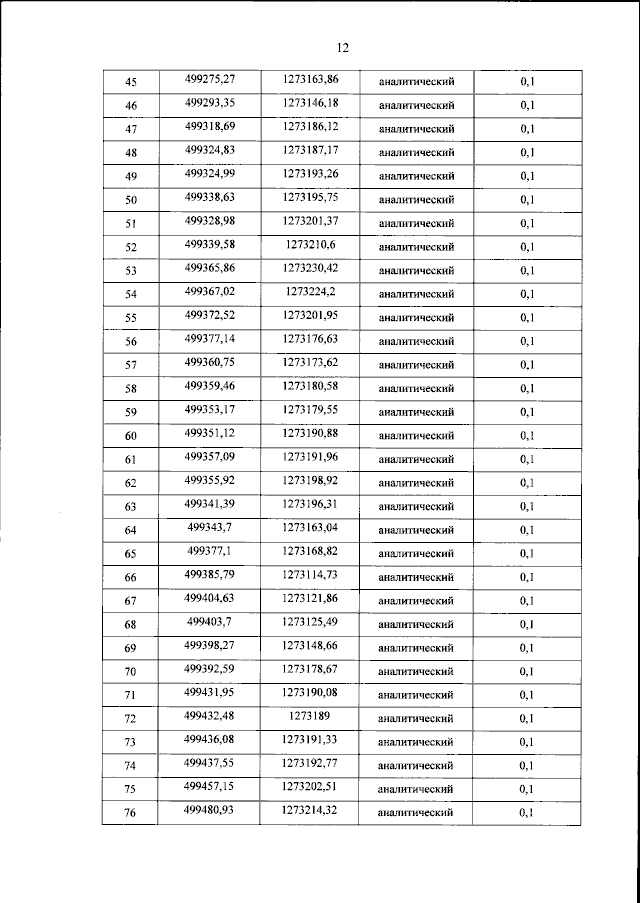
Приказ Министерства культуры Российской Федерации от 13.08.2024 № 1537
"Об утверждении границ объединенной зоны охраны объектов культурного наследия федерального значения "Церковь Старое Вознесение", ХV в. и "Поганкины палаты", ХVII в. (Псковская область), отнесенных к особо ценным объектам культурного наследия народов Российской Федерации, особых режимов использования земель и требований к градостроительным регламентам в границах территории данной зоны"
(Зарегистрирован 25.11.2024 № 80312)
Номер опубликования: 0001202411260005
Дата опубликования: 26.11.2024
Страница №12 из 17:
Увеличить