Официальное опубликование правовых актов
ОФИЦИАЛЬНОЕ ОПУБЛИКОВАНИЕ
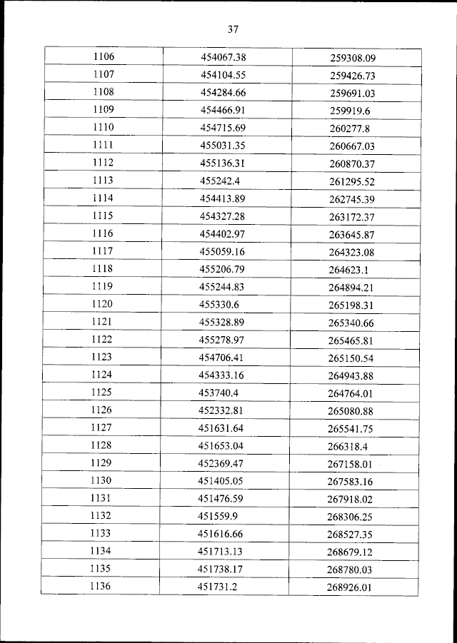
Приказ Министерства природных ресурсов и экологии Российской Федерации от 15.10.2024 № 615
"Об утверждении Положения о Кабардино-Балкарском высокогорном государственном природном заповеднике"
(Зарегистрирован 15.11.2024 № 80185)
Номер опубликования: 0001202411180024
Дата опубликования: 18.11.2024
Страница №46 из 103:
Увеличить