Официальное опубликование правовых актов
ОФИЦИАЛЬНОЕ ОПУБЛИКОВАНИЕ
Приказ Министерства культуры Российской Федерации от 13.08.2024 № 1540
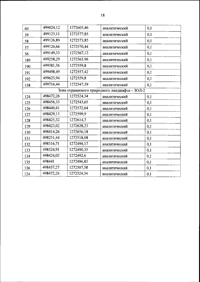
"Об утверждении границ зон охраны объекта культурного наследия федерального значения "Преображенский собор", ХII в., входящего в состав объекта культурного наследия федерального значения "Ансамбль Спасо-Мирожского монастыря", ХII - ХIХ вв. (Псковская область, г. Псков, Мирожский монастырь, д. 1-6), включенного в Список всемирного наследия и отнесенного к особо ценным объектам культурного наследия народов Российской Федерации, особых режимов использования земель и требований к градостроительным регламентам в границах территорий данных зон"
(Зарегистрирован 13.11.2024 № 80146)
Номер опубликования: 0001202411140018
Дата опубликования: 14.11.2024
Страница №18 из 28:
Увеличить