Официальное опубликование правовых актов
ОФИЦИАЛЬНОЕ ОПУБЛИКОВАНИЕ
Приказ Министерства культуры Российской Федерации от 13.08.2024 № 1539
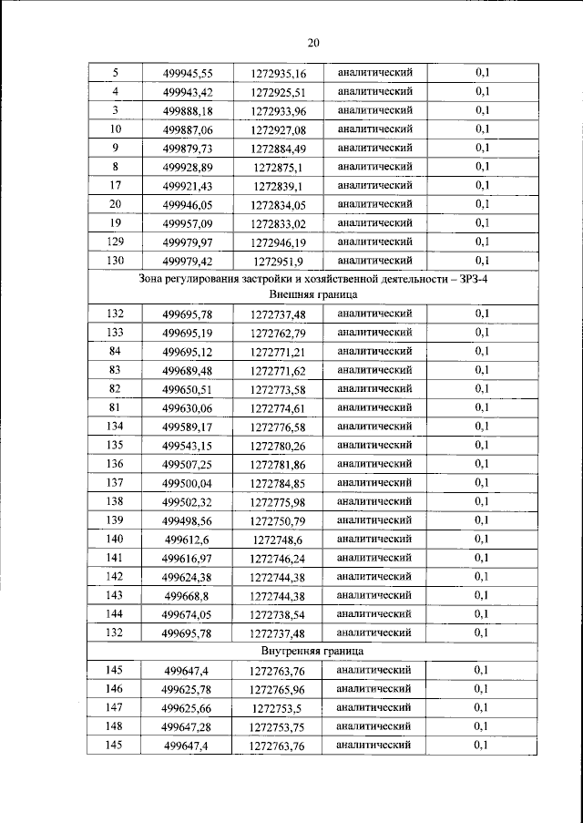
"Об утверждении границ зон охраны объекта культурного наследия федерального значения "Церковь Николы со Усохи", ХVI в. (Псковская область), включенного в Список всемирного наследия и отнесенного к особо ценным объектам культурного наследия народов Российской Федерации, особых режимов использования земель и требований к градостроительным регламентам в границах территорий данных зон"
(Зарегистрирован 13.11.2024 № 80145)
Номер опубликования: 0001202411140012
Дата опубликования: 14.11.2024
Страница №20 из 30:
Увеличить