Официальное опубликование правовых актов
ОФИЦИАЛЬНОЕ ОПУБЛИКОВАНИЕ
Приказ Министерства природных ресурсов и экологии Российской Федерации от 04.10.2024 № 598
"Об утверждении Положения о государственном природном заповеднике "Белогорье"
(Зарегистрирован 05.11.2024 № 80026)
Номер опубликования: 0001202411060007
Дата опубликования: 06.11.2024
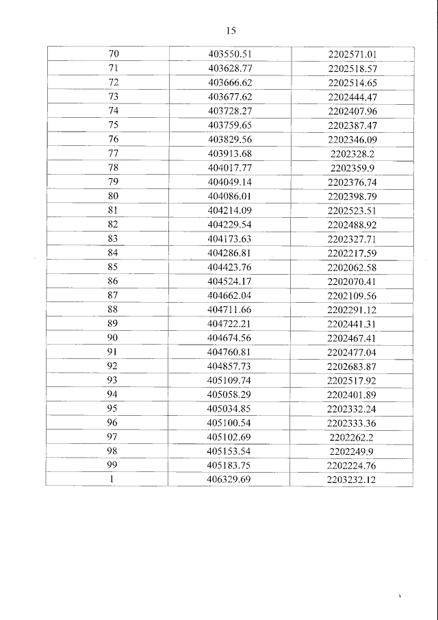
Страница №24 из 31:
Увеличить