Официальное опубликование правовых актов
ОФИЦИАЛЬНОЕ ОПУБЛИКОВАНИЕ
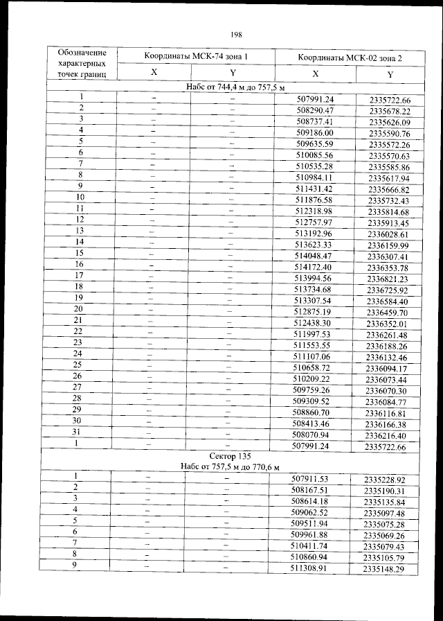
Приказ Федерального агентства воздушного транспорта от 30.09.2024 № 890-П
"О внесении изменений в приаэродромную территорию аэродрома гражданской авиации Магнитогорск, установленную приказом Федерального агентства воздушного транспорта от 24 мая 2023 г. № 338-П"
(Зарегистрирован 02.11.2024 № 80015)
Номер опубликования: 0001202411050006
Дата опубликования: 05.11.2024
Страница №199 из 218:
Увеличить