Официальное опубликование правовых актов
ОФИЦИАЛЬНОЕ ОПУБЛИКОВАНИЕ
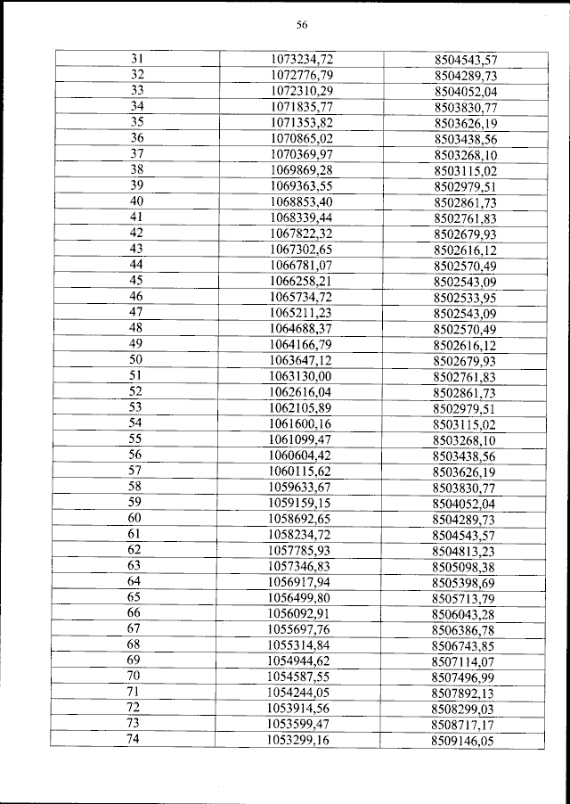
Приказ Федерального агентства воздушного транспорта от 17.09.2024 № 840-П
"Об установлении приаэродромной территории аэродрома гражданской авиации Лаврентия, залив"
(Зарегистрирован 14.10.2024 № 79779)
Номер опубликования: 0001202410150001
Дата опубликования: 15.10.2024
Страница №57 из 74:
Увеличить