Официальное опубликование правовых актов
ОФИЦИАЛЬНОЕ ОПУБЛИКОВАНИЕ
Приказ Министерства культуры Российской Федерации от 11.07.2024 № 1334
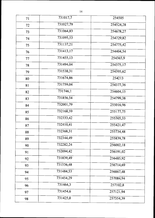
"Об утверждении границ территории объекта культурного наследия федерального значения "Ансамбль усадьбы "Ясная Поляна", конец XVIII - начало ХХ веков, расположенного по адресу: Тульская область, Щекинский район, д. Ясная Поляна"
(Зарегистрирован 10.10.2024 № 79756)
Номер опубликования: 0001202410110007
Дата опубликования: 11.10.2024
Страница №15 из 16:
Увеличить