Официальное опубликование правовых актов
ОФИЦИАЛЬНОЕ ОПУБЛИКОВАНИЕ
Приказ Федерального агентства воздушного транспорта от 09.09.2024 № 812-П
"Об установлении приаэродромной территории аэродрома гражданской авиации Симферополь"
(Зарегистрирован 07.10.2024 № 79728)
Номер опубликования: 0001202410080010
Дата опубликования: 08.10.2024
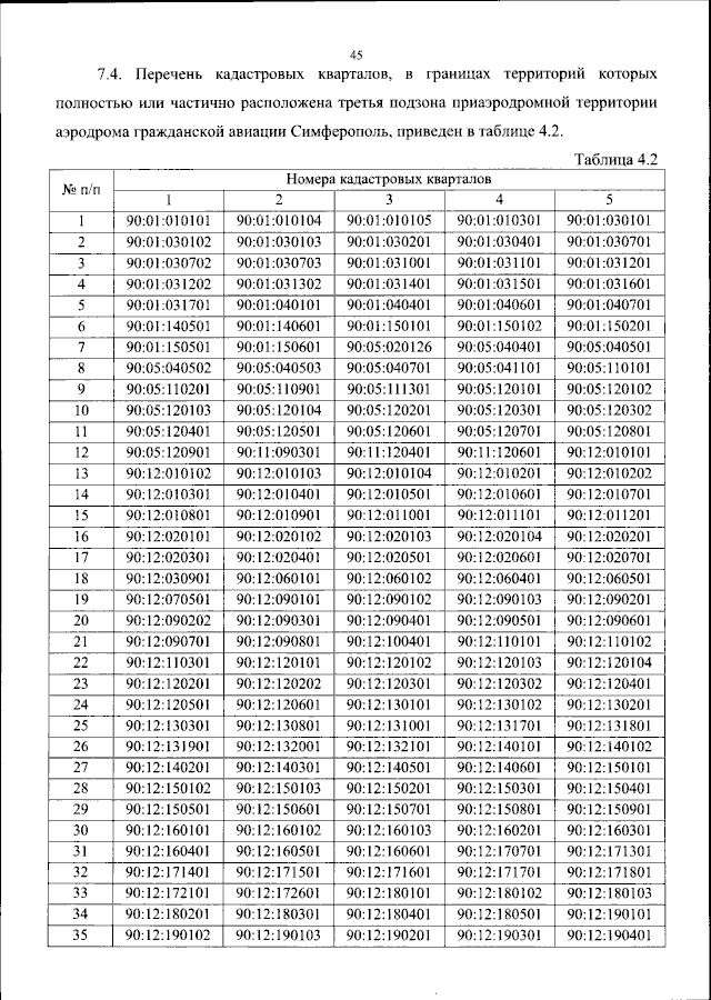
Страница №46 из 412:
Увеличить