Официальное опубликование правовых актов
ОФИЦИАЛЬНОЕ ОПУБЛИКОВАНИЕ
Приказ Министерства природных ресурсов и экологии Российской Федерации от 30.05.2024 № 333
"Об утверждении Положения о национальном парке "Кенозерский"
(Зарегистрирован 02.10.2024 № 79674)
Номер опубликования: 0001202410030012
Дата опубликования: 03.10.2024
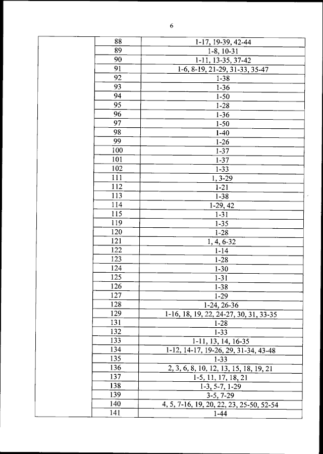
Страница №121 из 138:
Увеличить