Официальное опубликование правовых актов
ОФИЦИАЛЬНОЕ ОПУБЛИКОВАНИЕ
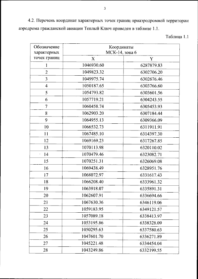
Приказ Федерального агентства воздушного транспорта от 12.08.2024 № 736-П
"Об установлении приаэродромной территории аэродрома гражданской авиации Теплый Ключ"
(Зарегистрирован 12.09.2024 № 79442)
Номер опубликования: 0001202409120054
Дата опубликования: 12.09.2024
Страница №4 из 60:
Увеличить