Официальное опубликование правовых актов
ОФИЦИАЛЬНОЕ ОПУБЛИКОВАНИЕ
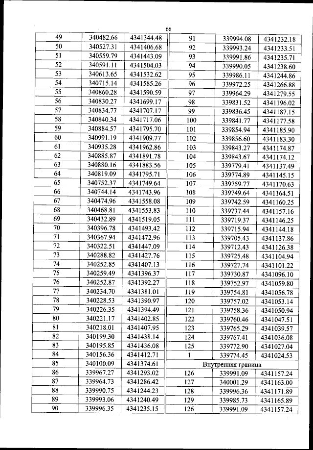
Приказ Федерального агентства воздушного транспорта от 30.07.2024 № 691-П
"Об установлении приаэродромной территории аэродрома гражданской авиации Томск (Богашево)"
(Зарегистрирован 29.08.2024 № 79327)
Номер опубликования: 0001202408300038
Дата опубликования: 30.08.2024
Страница №67 из 472:
Увеличить