Официальное опубликование правовых актов
ОФИЦИАЛЬНОЕ ОПУБЛИКОВАНИЕ
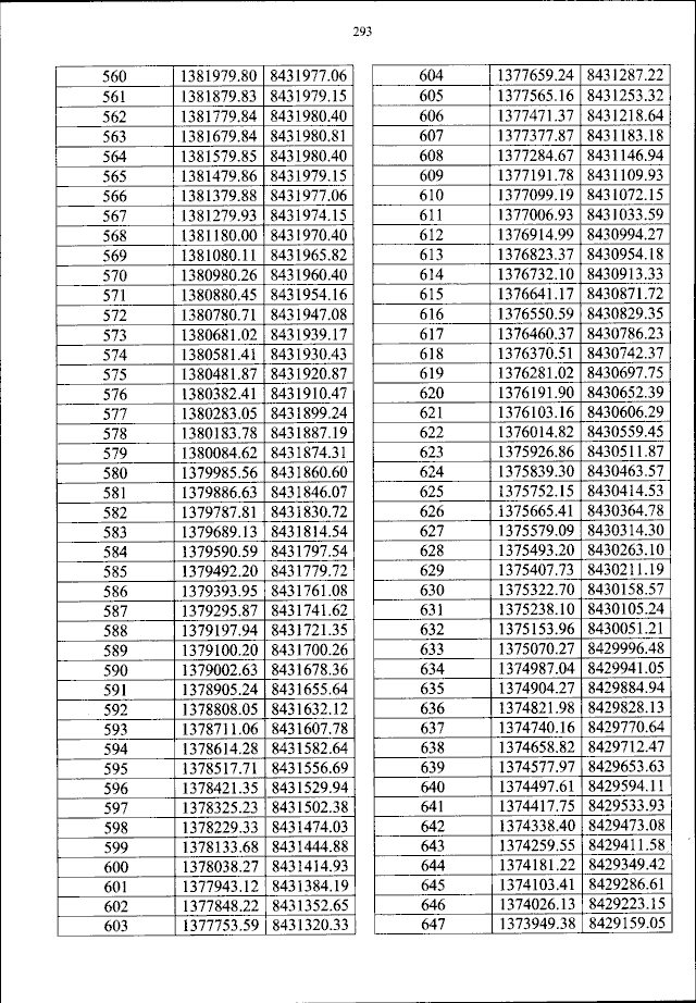
Приказ Федерального агентства воздушного транспорта от 02.07.2024 № 613-П
"Об установлении приаэродромной территории аэродрома гражданской авиации Зырянка"
(Зарегистрирован 23.08.2024 № 79262)
Номер опубликования: 0001202408270003
Дата опубликования: 27.08.2024
Страница №294 из 554:
Увеличить