Официальное опубликование правовых актов
ОФИЦИАЛЬНОЕ ОПУБЛИКОВАНИЕ
Приказ Федерального агентства воздушного транспорта от 30.05.2024 № 525-П
"Об установлении приаэродромной территории аэродрома гражданской авиации Шушенское"
(Зарегистрирован 23.08.2024 № 79266)
Номер опубликования: 0001202408260015
Дата опубликования: 26.08.2024
Страница №86 из 100:
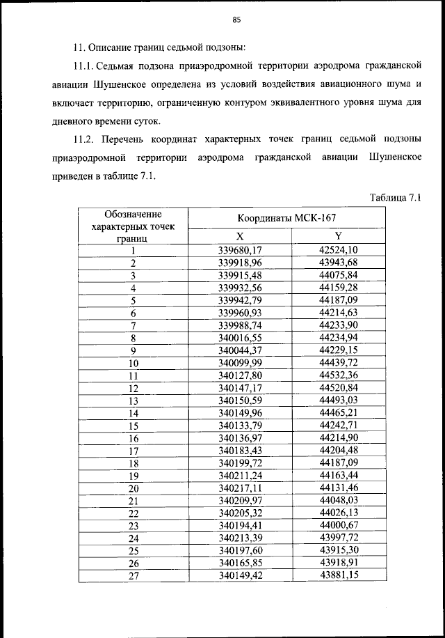
Увеличить