Официальное опубликование правовых актов
ОФИЦИАЛЬНОЕ ОПУБЛИКОВАНИЕ
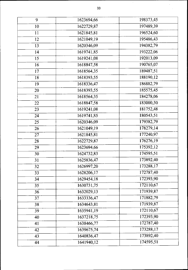
Приказ Федерального агентства воздушного транспорта от 26.07.2024 № 671-П
"Об установлении приаэродромной территории аэродрома гражданской авиации Тура-Горный"
(Зарегистрирован 23.08.2024 № 79260)
Номер опубликования: 0001202408260014
Дата опубликования: 26.08.2024
Страница №34 из 74:
Увеличить