Официальное опубликование правовых актов
ОФИЦИАЛЬНОЕ ОПУБЛИКОВАНИЕ
Приказ Министерства культуры Российской Федерации от 13.05.2024 № 860
"Об утверждении предмета охраны, границ территории и требований к градостроительным регламентам в границах территории исторического поселения федерального значения город Тотьма Вологодской области"
(Зарегистрирован 20.08.2024 № 79214)
Номер опубликования: 0001202408210014
Дата опубликования: 21.08.2024
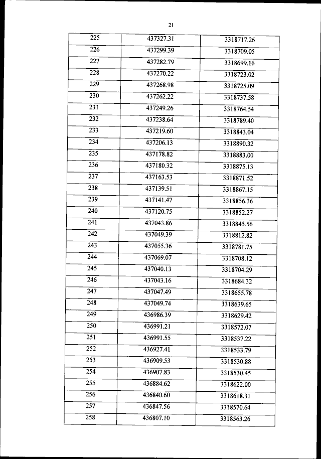
Страница №21 из 345:
Увеличить